化工制造网—全面的化工信息!
请登录
免费注册
English
网站导航
网站服务
我的商务室
实名认证
化工产品
化工企业
化工商机
化工设备
化工包装
化工资讯
化工会展
热搜:
二碳酸二叔丁酯
偶氮二甲酸二异丙酯
吡啶三氧化硫
三溴化吡啶鎓
吡啶氢溴酸盐
偶氮二甲酸二叔丁酯
三氧化硫吡啶
戊酸酐
特戊酸钾
特戊醛
特戊酸酐
4-苯基-1-丁醇
盐酸吡啶
首 页
化工商机
化工企业
化工产品
化工设备
化工包装
化工资讯
化工会展
产品定制
化工字典
化工字典
当前位置:
化工字典
> 丙氨酰谷氨酰胺杂质15
输入关键字:
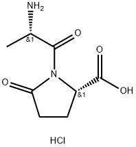
丙氨酰谷氨酰胺杂质15
供应商查看>>
中文名称:
丙氨酰谷氨酰胺杂质15
中文别名:
丙氨酰谷氨酰胺杂质8 HCL
英文名称:
丙氨酰谷氨酰胺杂质15
英文别名:
Alanyl Glutamine Impurity 8 HCl;Ala-Glp
CAS号:
97998-65-7
EINECS号:
-
分子式:
C8H13ClN2O4
分子量:
236.65
InChI:
-
分子结构:
密度:
-
熔点:
--
沸点:
-
闪点:
-
折射率:
-
蒸汽压:
-
物化性质:
-
产品用途:
-
危险品标志:
-
风险术语:
-
安全术语:
-
丙氨酰谷氨酰胺杂质15供应商:
https://product.chemmade.com/detail-S丙氨酰谷氨酰胺杂质15.html
推荐供应商
此推广位
199元/年
www.chemmade.com
咨询电话:025-86816800 联系QQ:1055882033