化工字典
当前位置:化工字典 > dichlorisone
  • 输入关键字:

dichlorisone

中文名称:
中文别名:
-
英文名称:
dichlorisone
英文别名:
9,11β-Dichloro-17,21-dihydroxypregna-1,4-diene-3,20-dione;Diloderm;Disoderm;(11β)-9,11-Dichloro-17,21-dihydroxypregna-1,4-diene-3,20-dione;Pregna-1,4-diene-3,20-dione, 9,11-dichloro-17,21-dihydroxy-, (11β)-;(8S,9R,10S,11S,13S,14S,17R)-9,11-dichloro-17-hydroxy-17-(2-hydroxyacetyl)-10,13-dimethyl-6,7,8,11,12,14,15,16-octahydrocyclopenta[a]phenanthren-3-one
CAS号:
EINECS号:
2302838
分子式:
C21H26Cl2O4
分子量:
413.34
InChI:
-
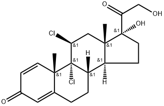
分子结构:
dichlorisone
密度:
1.37±0.1 g/cm3(Predicted)
熔点:
-238-241 °C (decomp)(Solv: acetone (67-64-1))
沸点:
586.4±50.0 °C(Predicted)
闪点:
-
折射率:
-
蒸汽压:
-
物化性质:
-
产品用途:
-
危险品标志:
-
风险术语:
-
安全术语:
-
推荐供应商
此推广位 199元/年 www.chemmade.com
咨询电话:025-86816800 联系QQ:1055882033