化工字典
当前位置:化工字典 > 伏冉宁
  • 输入关键字:

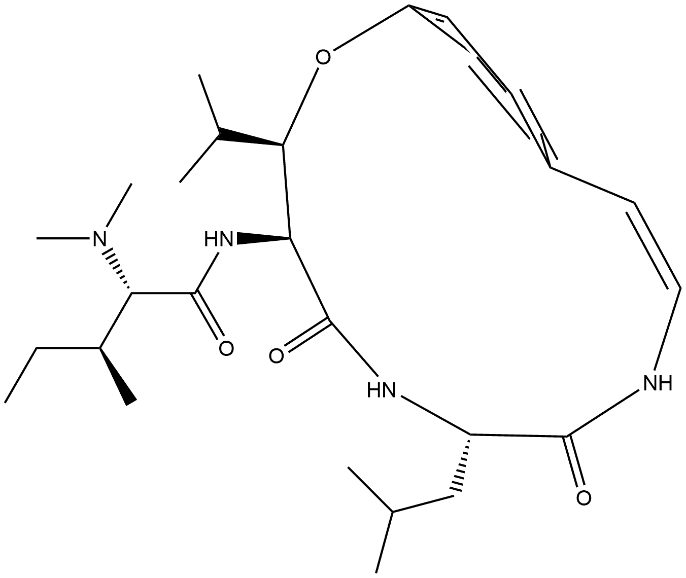
伏冉宁

中文名称:
中文别名:
伏冉宁;异欧鼠李碱
英文名称:
伏冉宁
英文别名:
Frangulanine;(2S,3S)-2-Dimethylamino-3-methyl-N-[(3R,4S,7S)-3-isopropyl-7-(2-methylpropyl)-5,8-dioxo-2-oxa-6,9-diazabicyclo[10.2.2]hexadeca-10,12,14(1),15-tetren-4-yl]pentanamide;Ceanothamine A;L-Leucinamide, N,N-dimethyl-L-isoleucyl-(3S)-3-hydroxy-L-leucyl-N-[2-(4-hydroxyphenyl)ethenyl]-, cyclic (2→3)-ether
CAS号:
EINECS号:
-
分子式:
C28H44N4O4
分子量:
500.67
InChI:
-
分子结构:
伏冉宁
密度:
1.10±0.1 g/cm3(Predicted)
熔点:
--
沸点:
729.1±60.0 °C(Predicted)
闪点:
-
折射率:
-
蒸汽压:
-
物化性质:
-
产品用途:
-
危险品标志:
-
风险术语:
-
安全术语:
-
推荐供应商
此推广位 199元/年 www.chemmade.com
咨询电话:025-86816800 联系QQ:1055882033