化工制造网—全面的化工信息!
请登录
免费注册
English
网站导航
网站服务
我的商务室
实名认证
化工产品
化工企业
化工商机
化工设备
化工包装
化工资讯
化工会展
热搜:
二碳酸二叔丁酯
偶氮二甲酸二异丙酯
吡啶三氧化硫
三溴化吡啶鎓
吡啶氢溴酸盐
偶氮二甲酸二叔丁酯
三氧化硫吡啶
戊酸酐
特戊酸钾
特戊醛
特戊酸酐
4-苯基-1-丁醇
盐酸吡啶
首 页
化工商机
化工企业
化工产品
化工设备
化工包装
化工资讯
化工会展
产品定制
化工字典
化工字典
当前位置:
化工字典
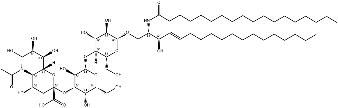
> Ganglioside GM3
输入关键字:
Ganglioside GM3
供应商查看>>
中文名称:
Ganglioside GM3
中文别名:
神经节苷脂 GM3
英文名称:
Ganglioside GM3
英文别名:
Neu5Aca2,3Galb1,4Glc Ceramide Synonym:GM3;Octadecanamide, N-[(1S,2R,3E)-1-[[[O-(N-acetyl-α-neuraminosyl)-(2→3)-O-β-D-galactopyranosyl-(1→4)-β-D-glucopyranosyl]oxy]methyl]-2-hydroxy-3-heptadecen-1-yl]-;Neu5Acα2, 3Galβ1, 4Glc Ceramide
CAS号:
124579-05-1
EINECS号:
-
分子式:
C59H108N2O21
分子量:
1181.51
InChI:
-
分子结构:
密度:
1.26±0.1 g/cm3(Predicted)
熔点:
--
沸点:
1260.2±65.0 °C(Predicted)
闪点:
-
折射率:
-
蒸汽压:
-
物化性质:
-
产品用途:
-
危险品标志:
-
风险术语:
-
安全术语:
-
Ganglioside GM3供应商:
https://product.chemmade.com/detail-SGanglioside GM3.html
推荐供应商
此推广位
199元/年
www.chemmade.com
咨询电话:025-86816800 联系QQ:1055882033