化工制造网—全面的化工信息!
请登录
免费注册
English
网站导航
网站服务
我的商务室
实名认证
化工产品
化工企业
化工商机
化工设备
化工包装
化工资讯
化工会展
热搜:
二碳酸二叔丁酯
偶氮二甲酸二异丙酯
吡啶三氧化硫
三溴化吡啶鎓
吡啶氢溴酸盐
偶氮二甲酸二叔丁酯
三氧化硫吡啶
戊酸酐
特戊酸钾
特戊醛
特戊酸酐
4-苯基-1-丁醇
盐酸吡啶
首 页
化工商机
化工企业
化工产品
化工设备
化工包装
化工资讯
化工会展
产品定制
化工字典
化工字典
当前位置:
化工字典
> Xeroboside
输入关键字:
Xeroboside
供应商查看>>
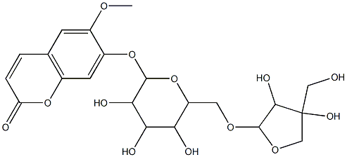
中文名称:
Xeroboside
中文别名:
-
英文名称:
Xeroboside
英文别名:
Xeroboside;Hymexelsin;2H-1-Benzopyran-2-one, 7-[(6-O-D-apio-β-D-furanosyl-β-D-glucopyranosyl)oxy]-6-methoxy-
CAS号:
117842-09-8
EINECS号:
-
分子式:
C21H26O13
分子量:
486.42334
InChI:
-
分子结构:
密度:
1.66±0.1 g/cm3(Predicted)
熔点:
-236-238 °C
沸点:
818.7±65.0 °C(Predicted)
闪点:
-
折射率:
-
蒸汽压:
-
物化性质:
-
产品用途:
-
危险品标志:
-
风险术语:
-
安全术语:
-
Xeroboside供应商:
https://product.chemmade.com/detail-SXeroboside.html
推荐供应商
此推广位
199元/年
www.chemmade.com
咨询电话:025-86816800 联系QQ:1055882033