化工字典
当前位置:化工字典 > 胆甾醇琥珀酸酯
  • 输入关键字:

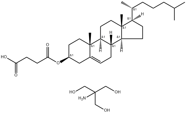
胆甾醇琥珀酸酯

中文名称:
中文别名:
胆固醇琥珀酸单酯 三羟甲基氨基甲烷盐;胆固醇半琥珀酸酯三羟甲基氨基甲烷盐
英文名称:
胆甾醇琥珀酸酯
英文别名:
4-[[(3S,8S,9S,10R,13R,14S,17R)-10,13-dimethyl-17-[(2R)-6-methylheptan-2-yl]-2,3,4,7,8,9,11,12,14,15,16,17-dodecahydro-1H-cyclopenta[a]phenanthren-3-yl]oxy]-4-oxobutanoic acid;CHOLESTERYL HYDROGEN SUCCINATE TRIS SALT;CHOLESTERYL HEMISUCCINATE TRIS SALT;3β-hydroxy-5-cholestene 3-hemisuccinate;CHEMS;5-CHOLESTEN-3BETA-OL 3-HEMISUCCINATE TRIS SALT;3BETA-HYDROXY-5-CHOLESTENE 3-HEMISUCCINATE TRIS SALT;CHOLESTERYL HEMISUCCINATE F & D VERSION&
CAS号:
EINECS号:
-
分子式:
C35H61NO7
分子量:
607.87
InChI:
-
分子结构:
胆甾醇琥珀酸酯
密度:
-
熔点:
--
沸点:
-
闪点:
-
折射率:
-
蒸汽压:
-
物化性质:
-
产品用途:
-
危险品标志:
-
风险术语:
-
安全术语:
-
推荐供应商
此推广位 199元/年 www.chemmade.com
咨询电话:025-86816800 联系QQ:1055882033